Introduction
The Prothrombin Time (PT) in an individual with one or more deficiencies of a clotting factor will vary with the type of Thromboplastin (e.g. rabbit, human, bovine etc) used in the assay. This difference in sensitivities is known as the sensitivity index. Individual Thromboplastins can be calibrated against an International WHO reference Thromboplastin (International Reference Preparation or IRP) to assign them an International Sensitivity Index or ISI. The first WHO reference Thromboplastin was assigned an ISI of 1.0 and it is against this (and subsequent reference preparations) that all other Thromboplastin are calibrated.
The first WHO IRP was a human brain extract to which adsorbed bovine plasma was added to optimise the content of the non-vitamin K dependent coagulation factors - adsorption with Al(OH)3 removes all the vitamin K dependent proteins]. Subsequent WHO IRPs contain no adsorbed bovine plasma.
Principles & Methodology
1. Calculating the ISI
The calibration of a test Thromboplastin must be against a reference Thromboplastin of the same species e.g. human against human, rabbit against rabbit etc.
Prothrombin Times are performed in duplicate for each Thromboplastin and the mean for each pair of tests derived. Tests are historically performed on 20 normal donors not on anticoagulants and 60 patients who have been on oral anticoagulant treatment for at least 6 weeks. If there is more than a 10% difference in the clotting times between duplicate samples, the tests on that plasma sample should be repeated.
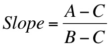
The mean of each pair of PT results are plotted on double-log paper with the reference sample on the Y axis and the test plasma on the X-axis. The use of the double-log paper removes the necessity to derive the log for each PT result. A line of best fit is drawn and the slope of this line is the ISI.

The ISI can be calculated in (at least) two ways:
| Deriving the ISI | |
|---|---|
| The preferred method | The PTs of all the plasma samples are converted to the corresponding logarithms, an orthogonal regression line is calculated and from which the ISI can be derived. For more information relating to the derivation of the ISI - see References. |
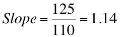
| The simpler method | A best fit line is drawn with points above the highest recorded PT and the lowest PT (see figure above). The slope of the line is calculated and this represents the ISI. In the example shown above -
Thromboplastins should be chosen with an ISI close to 1.0. Thromboplastins with high ISIs are less sensitive to small changes in the PT. The table below under INR illustrates this. Using a Thromboplastin with an ISI of 1.0 the PT can range from 15s - 35s but the INR is still in the therapeutic range. In contrast if the ISI of the Thromboplastin is 2.0 an increase in the PT from 15s to 30s results in an INR outwith the therapeutic range. |
Local Calibration
Whilst the development of an International Reference Thromboplastin resulted in significant improvements in the standardisation of anticoagulant control, the use of different coagulometers for the PT and the differing methods of end-point detection can lead to significant variations in PT. For these reasons, a local calibration of thromboplastins is recommended. This involves testing a set of plasma samples with known INRs with the a laboratory-specific Thromboplastin and on the coagulometers which will be used to derive the PT.
2. The International Normalised Ratio [INR]
The International Normalised Ratio (INR) is the PT ratio of a test sample compared to a normal PT (derived from the log mean normal prothrombin time (LMNPT) of 20 normal donors) corrected for the sensitivity of the Thromboplastin used in the test. It is the value for the Prothrombin Time Ratio which has been obtained using the first WHO Reference Thromboplastin with an ISI of 1.0.


So for a patient on Warfarin with a PT of 23 seconds and a mean normal PT of 12 seconds using a Thromboplastin with an ISI of 1.2, the INR is 2.18:

The table below illustrates a number of patients with varying PTs and in whom the INR was calculated using three thromboplastins with varying ISIs. The Geometric Mean Normal Prothrombin Time (GMNPT) for a group of 20 normal donors not on anticoagulants was 12.1s.
| Patient PT [s] | Thromboplastin 1 [ISI 1.0] |
Thromboplastin 2 [ISI 1.5] |
Thromboplastin 3 [ISI 2.0] |
|---|---|---|---|
| 15 | 1.25 | 1.39 | 1.54 |
| 20 | 1.67 | 2.15 | 2.78 |
| 25 | 2.08 | 3.00 | 4.3 |
| 30 | 2.5 | 3.95 | 6.25 |
| 35 | 2.91 | 4.98 | 8.51 |
Reference Ranges
The INR reference value for a patient not taking a vitamin K antagonist is 1.0. The therapeutic range for anticoagulation varies according to the precise indication - see BSH Guidelines and ACCP Guidelines.



